在电气、电子系统及设备中,众多熔断器分别用于不同部位设备、线路以及系统的过电流保护,不同位置熔断器的工作电压、工作电流、故障电流、环境条件也各不相同,在不同的地方选用合理的熔断器对于设备和系统的安全运行是非常重要的。在很多情况下,由于熔断器选用的不恰当而达不到预期保护效果,甚至造成严重后果的事故时有发生。本文对几个典型应用场合熔断器的选择和使用一般原则与过程进行介绍。

熔断器的选用需要根据被保护负载的过载电流特性、可能出现的最大短路电流、工作电压、环境温度、选择性保护、熔断器的电压降、耐久性、可维护性等因素,综合考虑来选择类型和规格。常见的电气、电子设备和系统工作的电流、电压波形不同,抗过电压、过电流的能力有时差异也很大,加之熔断器需要计及的性能参数较多,所以应认真选择。有时不同性能的要求间会出现矛盾,就需要设计人员分清主次折中选择。
一般来讲,在选择熔断器时,应根据使用场合选定熔断器的种类,继而选定熔体的规格。使熔体的保护特性与被保护负载有良好的配合,然后再根据熔体去选择熔断器的规格。当然,熔断器的额定电流应不小于熔体的额定电流,额定分断能力应大于电路中可能出现的最大短路电流,额定电压也应足够。对于设备开机时的冲击电流(inrush cur-rent)、EMC测试的一定幅值的雷击电流等脉冲,熔体也应能承受。下面通过具体设计来进行说明。
01
一般电气、电子设备熔断器的选择
1. 熔断器类型的选择
对于一般电气、电子设备,其工作电流为连续的直流或交流,可依据其应用场合以及短路电流的大小来选择类型。比如,对容量较小的照明线路或电动机的保护,可采用插入式熔断器、无填料密闭管式熔断器;对短路电流较大的设备或存在易燃气体的场合,可采用有高分断能力的熔断器或有填料密闭管式熔断器;对于半导体功率整流设备,可采用快速熔断器。
2. 熔体额定电流的选择
① 对于照明电路和电热设备等阻性负载
其负载电流为较稳定的交流或直流电,容量也相对较小,可以用熔断器进行过载保护和短路保护,选择熔体时,使其额定电流IRN等于或稍大于负载设备的额定电流ILN即可,具体如下:
IRN=1.1ILN (1-1)
式中,IRN为熔断器额定电流;ILN为负载的额定电流。
② 对于电动机负载
其起动过程会持续数十秒,并且起动电流Imq比其额定电流ImN大很多。例如,笼型异步电动机起动电流可达额定电流的6~8倍,即使采用减压起动方式,起动电流也可达额定电流的2倍以上;线绕转子电动机的起动电流也可达其额定电流的2~3倍。此外,电动机一般能承受比额定电流大约20%的过载电流。可见,电动机的起动电流有可能远大于工作电流,为此,对电动机负载的熔断器进行选型设计时,就只能主要考虑其短路电流的保护功能,过载电流保护无法用熔断器来完成,即起动电流不熔断、短路电流时才熔断。人们发现在实践中,只要使熔体流过的起动电流不大于其保护特性电流的1倍左右,就可以使熔断器在电动机起动过程中避免熔断,而电动机的过载保护可通过热继电器来进行。
具体来讲,根据电动机的数量以及工作状态的不同,电动机熔断器额定电流的选择可参考以下设计。
对于单台电动机的长期保护,可按式(1-2)选取
IRN ≥(1.5~2.5)ImN (1-2)
式中,IRN为熔断器额定电流;ImN为电动机额定电流。
对经常起动、重载起动或起动时间较长的情况,可取2.5;对于轻载起动或起动时间较短的情况,可取近1.5。
对于保护多台电动机的熔断器,考虑到在出现大起动峰值电流时,熔体应正常工作,则熔体的额定电流应大于或等于最大一台电动机额定电流的1.5~2.5倍,同时加上使用的其余电动机额定电流之和,即
IRN≥(1.5~2.5)ImNmax+IiN (1-3)
式中,IRN为熔断器额定电流;ImNmax为最大电动机的额定电流;IiN为其余电动机额定电流之和。
当然,电动机的实际工作情况与可能还是有所不同,式(1-2)仅为一种设计参考,设计时可根据实际的电动机系统进行设计和调整。
3. 熔断器额定电压的选择
对于一般电气负载,熔断器的额定电压选择大于或等于电气负载的额定电压即可。
4. 熔断器分断能力的选择
熔断器分断能力的选择取决于短路电流的大小和负载抵抗大电流的能力。一般来讲,低压小容量负载可选择低分断能力熔断器,大容量负载可选择高分断能力的熔断器。
5. 熔断器熔化热能值的选择
实际电气、电子产品在工作或进行EMC雷击浪涌、ESD放电测试时,熔断器中除有正常负载工作电流外,还会流过瞬态高幅值的尖峰电流,幅值可达几十安,甚至上千安培。有时负载的工作电流也可能是脉冲形式的,此时选择熔断器参数,就有必要考虑熔化热能值参数。选择熔断器时,应保证在至少单个脉冲电流流过时,熔断器不会熔断,这就要求熔化热能值应大于流过脉冲电流的I2t值。
以EMC测试雷击浪涌电流为例,如测试电压/电流为1kV等级,被保护设备安装有过电压钳位抑制器件,则浪涌电流波形接近为500A峰值、8/20μs的双指数脉冲。通常被测设备应能承受该雷击浪涌而正常工作,这就需要分析该电流的I2t值,并据此选择熔断器的熔化热能值。为简化计算,使用图1-1所示的三角波电流及其I2t计算式来估算雷击浪涌电流的I2t值,容易算出该电流的I2t值为1.67A2·s。由此,在选择熔断器时,熔体的熔化热能值最好为该值的2~3倍,即可保证熔断器可承受规定浪涌脉冲电流。
图1-1 三角波电流及其I2t计算式
02
半导体整流装置过电流保护熔断器选择
在当今众多的电气、电子设备中,通常利用半导体功率开关器件,如硅二极管、晶闸管SCR、可关断门极晶闸管GTO等,构成的开关整流电源、开关直流电源以及变频电源将电网的“粗电”变换为“精电”后,为整个设备提供电力。在这些电源设备中,半导体功率器件对过电流的敏感程度要比传统的无源电感、电容高得多,不仅对过电流的幅值敏感,对过电流的持续时间也很敏感。因此,对半导体整流或开关装置过电流的熔断器保护设计与前述一般电气、电子设备的设计就有所不同。
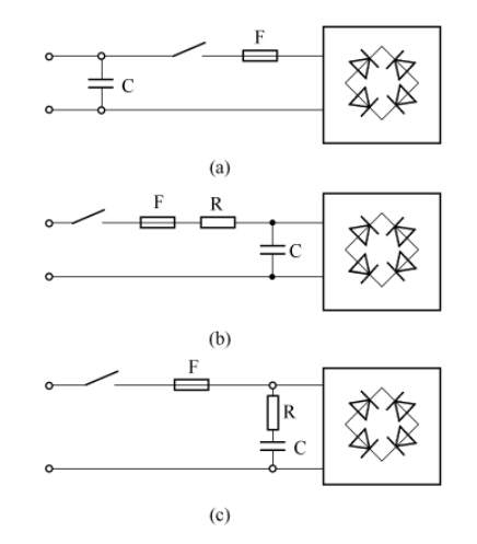
由于SCR、GTO耐过电流的能力通常不超过1~2个电网周期,因而需要选用快速熔断器对半导体整流装置提供过电流的保护。利用快速熔断器进行过电流保护,其效果和参数设计还与其接入被保护电路的位置有关。以单相硅整流桥和单相SCR整流桥为例,快速熔断器接入整流电路的方式可以有交流侧接入、与硅元件直接串联接入、直流侧接入三种,分别如图2-1(a)、(b)、(c)所示。
图2-1 快速熔断器接入整流电路的方式
图2-1中,(a)方案的熔断器额定电流会大一些,因为其正负半周均流过电流,电流有效值大,这样就导致该方式对过电流保护的可靠性就略差一些。(b)方案熔断器保护的可靠性最高,因为任一个元器件发生事故时,相应的快速熔断器就可起保护熔断作用。当然,其所用的熔断器数量也较多。(c)方案的保护可靠性最差,因为其只能在直流负载侧发生故障时,才能起到熔断保护作用,因此实际中很少采用。在设计熔断器保护方案时,用户应根据具体要求进行选择。此外,上述优缺点分析对三相、多相不控整流桥及其他类似的半导体开关电路也适用。
1. 熔体额定电流的选择
在半导体整流装置中,流过熔断器的电流也不是正弦波或直流波形,会因半导体的导通角度,负载的感性、容性、阻性性质而变化,因此熔断器的额定电流需用发热等效来衡量,即用电流的有效值来衡量。此外,不同半导体器件的耐过电流能力不同,如硅整流二极管强些,而晶闸管相对弱些,因此它们对熔断器的要求也有不同。因而,快速熔断器应由设计者考虑多方面因素后确定。
在一般应用中,根据快速熔断器保护方案的不同,可参考以下算式、图表来进行熔断器额定电流的简化设计。
① 当熔断器接入交流侧,熔体的额定电流可按式(2-1)选择。
IRN ≥ k1 Izmax (2-1)
式中,k1为与整流电路拓扑及导电角有关的系数,半导体器件为硅整流二极管时,k1取值见表2-1,半导体器件为SCR时,k1取值见表2-1;Izmax为电路可能工作的最大整流电流。
表2-1 硅整流二极管时k1的取值
表2-2 SCR时k1的取值
② 当熔断器与硅元件直接串联接入时,熔体的额定电流可按式(2-2)选择。
IRN ≥ 1.5IzN (2-2)
式中,IzN为桥臂半导体器件的额定电流。
需要指出的是,硅整流器件和晶闸管的额定电流是指其电流的平均值,快速熔断器的额定电流为有效值,这一点在计算时需要注意。
2. 熔断器额定电压的选择
快速熔断器熔断的瞬间,由于电网电压以及电路寄生电感的续流作用,熔断器两端电压常会达到电网电压的1.5~2倍。此时,半导体整流器件应能承受电网电压与熔断器端电压之和,故快速熔断器额定电压可参考下式选择:
(2-2)
式中,URN为熔断器的额定电压;UZf为半导体器件的反向电压峰值;k2为安全系数,可选1.5~2.5。
3.熔断器分断能力、熔化热能值的选择
快速熔断器分断能力、熔化热能值的选择与上一节节中介绍的一般电气、电子设备熔断器的选择原理一致,请读者自行参考。
03
脉冲及瞬态冲击电流时熔断器的选择
熔断器所保护的负载的电流、开机冲击电流以及EMC测试的雷击浪涌电流、ESD放电电流等都常是脉冲形式的。这种脉冲形式的电流对熔断器额定电流、熔化热能值等参数的要求和选择有较大的影响,在一些场合这些参数间很可能会发生设计或选择上的矛盾。下面针对工作在脉冲或瞬态冲击电流下的熔断器的选择方法进行介绍。
脉冲或瞬态冲击电流对熔断器的影响主要反映在熔断器的热效应上。图1-1 所示为脉冲形电流的示意图。在脉冲电流持续期间,熔体会迅速升温;而脉冲电流为零期间,熔体即降温。这样脉冲电流会产生熔体的最高温度与平均温度不同的现象,并且脉冲间隔的时间越长,熔体的最高温升和平均温升的差距就越大。严重时,就会产生脉冲电流持续时所产生的热量已可使熔体几近熔断,但在整个周期内,熔体的平均温度尚未达到熔点的情况。换言之,脉冲电流有效值的热作用与单个脉冲的I2t效应有时会差异较大。图3-1中示意性地用虚线画出了脉冲电流的有效值。
因此,人们平常选择熔体时仅使熔体的额定电流 IN 大于脉冲电流的有效值Ieff的方法是不够可靠的。在脉冲电流或瞬态冲击电流作用时,选择熔体时必须保证每个电流脉冲的I2t值符合要求,同时还需要使电流的有效值也符合要求才行。在具体选择熔体时,可首先计算脉冲电流的有效值,按前文介绍的方法选择熔体额定电流IN。然后计算脉冲的I2t值。如果脉冲电流的幅值、形状各异,则需要计算出每一种形状脉冲的I2t值。最后选择熔体的I2t值,使其为电流脉冲最大I2t值的2~3倍。这样,就能保证熔体在正常脉冲电流下的安全工作,并起到过电流保护作用。下面以图3-2所示的脉冲电流的为例,介绍熔体选择过程。
图3-1 脉冲形电流示意图
图3-2 脉冲电流实例
首先确定每个脉冲的有效值,即平方根值:
然后,确定每个脉冲的I2t值:
因而,可为这项应用选择1A的熔体,并保证熔体的I2t值大于1.25×10-3A2·s。
此外,一些先进的熔断器生产商还提供有熔体的脉冲循环承受能力的估算图表,可用来检查所选熔体能承受多少次脉冲电流冲击。比如,针对前述电流有效值和I2t值的要求,选用了Littelfuse公司235001熔体,在其产品手册中可查出235001熔体的I2t值为0.48,那么有
从Littlefuset公司提供的熔体脉冲循环承受能力表,如图3-3所示,可以看出,235001熔体对该脉冲电流的承受能力为10万次以上,即可长期工作。
实际中的脉冲电流形状多样,为方便电流脉冲的I2t值计算,人们对典型波形及其计算进行了总结和归纳,如图3-4所示。根据具体工作波形,可选择图中最接近的波形做近似计算。
在一些熔断器应用场合,被保护设备对熔断器的参数要求可能会出现冲突。比如,图3-5(a)所示的半导体整流装置,为抑制EMI传导干扰,在输入电源线上施加有较大容量的电容C,通常熔断器安装在电容左方的输入线上,因此当该装置上电时,会出现图3-5(b)所示的Inrush电流。按照第二节中半导体整流装置熔断器的选取方法,为有效保护半导体功率器件,利用I2t值尽可能小的快速熔断器或超快速熔断器是最佳选择。然而,对由于电容C引起的冲击电流,则希望选用I2t值尽可能大的慢速熔断器。这两者的要求相互冲突,要选出两方要求都满足的熔断器几乎是不可能的。
图3-3 熔体脉冲循环承受能力
图3-4 典型波形I2t值近似计算
图3-5 半导体整流装置及其冲击电流
这时,通过增加、调整该设备中一些元器件及其位置,可以使上述问题得以改善和解决,如图3-6所示。(a)方法是将电容C移到最前侧,使冲击电流不流过熔断器,熔体按保护半导体整流装置的原则选择即可。当然,这种方式存在熔断器保护范围不全面的风险,如电容C短路时无法提供保护。(b)方法是在熔断器上串联电阻,可使开机冲击电流降低,同时又能对半导体整流装置提供保护。当然,这种方法存在电阻平时耗能和分压的问题,利用在电阻旁并联自动开关或负温度(NTC)系数热敏电阻即可解决。NTC热敏电阻具有电阻值随内部温度上升而下降的特性。开始时,其电阻稍大,从而限制Inrush电流幅值,随电流的过通,其内部温升提高,电阻值继而下降,使得负载正常工作时,NTC热敏电阻上的电压降已很小。(c)案将电阻串联在电容支路上,也可减小冲击电流,但会使C的滤波或动态响应能力下降。上述三种方法各有优缺点,具体选用哪一种方案由电路设计者根据实际应用需要而定。
图3-6 电容和半导体整流电路的熔断器设计方案